MOST Corrupt Prime Minister in Canadian History (Part 1)
Patterns in Power: Does Mark Carney control the $2 trillion Canadian pensions he is making a part of our trade deals?
Thank you for supporting www.kraydensrightnews.com!
We appreciate our FREE and PAID Substack subscribers supporting Krayden’s Right News independent journalism on our multi-media platforms. Deciding to buy a paid subscription option is one of the best ways you can support our independent journalism.
For those receiving KR News for the first time, we hope you will consider accepting this FREE subscription offer, as we consolidate our supporters and members, in order to offer more member benefits in the future. Thanks for your interest and support. Unsubscribe, if you are not interested in receiving this KR News offering.
WATCH for part 2 to this article in the near future where Krayden’s Right News focusing on Carney’s Brookfield conflict overlap with trade missions.
For anyone watching the news, it is becoming increasingly apparent that Canada’s Prime Minister Mark Carney’s so-called trade missions have MANY interesting coincidental ties to Brookfield Asset Management, the company Carney headed as chairman of the board before he ran for the Liberal leadership.
Carney joined Brookfield in 2020 as vice-chairman and head of “Transition Investing,” co-leading their Global Transition Fund, later becoming chairman of Brookfield. in 2025, Carney won the Liberal leadership and Canada’s general election on Apr. 28 to become the prime minister of Canada.
Carney has literally at least 103 conflicts of interest, which we will show you later in this article, have been blatant, and are increasingly in your face. On the trade missions, his conflicts of interest are being flouted openly again and again. It seems increasingly a bold pay for play scheme, that is completely overt, and is never investigated by the corporate media, the Parliamentary Ethics commissioner, or the police.
“For those of you that think Mark Carney can’t touch your pension because it’s managed by a [arms-length] CCIB, which is a private board, you’re right, but you’re also wrong.”
-Robin Hillier
Brookfield interests are touted as vital to the Canada’s national interest but these investments dot the world, including Ukraine, China, United Arab Emirate (UAE), India, Australia, Japan, and Norway. Wherever Carney travels, you will usually see Brookfield either two steps ahead or three steps behind the Canadian trade mission. For example, Carney arrives in the UAE on November 19, 2025, and Bruce Flatt, the Chief Executive Officer (CEO) of Brookfield Corporation, met with the same people in the UAE a few days earlier. Andy Lee on X noted:
“Oh stop we know Bruce Flatt and Brookfield were just there a few days ago.”
In this article we will examine the intersection of these so-called trade missions, Brookfield, and Canada’s pensions — your retirement savings.
ARE $2 TRILLION CANADIAN PENSIONS BEING USED IN TRADE DEALS?
Yes, they are. It is disturbing how at many of Carney’s foreign photo-ops/ so-called trade deals he keeps bragging about our Canada Pension Plan (CPP), along with the Maple 8 pensions (more on this later) $2 trillion public service pensions, dangling it tantalizingly, like a carrot, to foreign states and companies. He did this in India and the UAE.
Is it normal for the Canadian prime minister to brag up our CPP and the other public service provincial pensions during trade deals?
“Top executives at some of Canada’s largest pension plans,” stated their concerns that Carney was planning to strong arm their investors’ pensions, taking away their independence. They publicly said, “They’re worried about government intrusion, days before Prime Minister Mark Carney unveils a budget that’s likely to emphasize investment in infrastructure and the military.”
I never heard of a prime minister talking about the CPP within multiple foreign countries, so, I did some research and I could not find ANY other Canadian prime minister promoting Canada’s pensions as “capital” on similar foreign trade missions.
In the UAE November 21, 2025, Carney said:
Over the next year, we will take significant measures to elevate our relationship. The Minister of Finance will lead a delegation of Canada’s pension funds, $2 trillion dollars of capital, which almost begins to sound significant in the UAE.
$2 trillion in capital the Canadian pension funds, they will come here next year early, to deepen existing partnerships and develop new investment opportunities together.
In India on March 2, 2026, Carney said:
Over the longer horizon, the Prime Minister [of India] mentioned a moment ago the $100 billion dollars of investments already in India by our pension funds. Those pension funds have $2 trillion in capital. There are already some of the largest foreign investors here, potential for significant growth, particularly given the scale of the infrastructure build in this country.
In our meme below, we demonstrate how we can replace one country for the other with different foreign leaders — Brookfield partners — changing but the same Canadian team including Carney stay the same with exactly the same key messaging regarding the $2 trillion in Canadian pensions being flouted in these foreign countries.
Reportedly UAE is a big investor in western governments such as the United States’ stock market. “Deep pools of wealth have given Abu Dhabi unprecedented sway over global finance, energy, and AI,” Bloomberg reported in December, including recent American media purchases. The recent war and geopolitical events in the Middle East, however, may reportedly change investment patterns: “Gulf states could review overseas investments to ease financial strains caused by Iran war.”
So, the question is: will this affect Carney’s big ideas related to the UAE and our Canadian pensions?
Time will tell.
On Carney’s recent Australia trade mission, pensions also came up.
On March 4, 2026, a pension fund collaboration on a massive scale between Canada and Australia was announced, with or through the Industry Funds Management (IFM) Investors, a global asset manager, founded and owned by 15 Australian pension funds plus UK’s Nest, played the central brokering role. It was announced this deal is about “infrastructure” and of course green energy which is NOW called “energy transition” with the usual so-called investments like “clean energy technologies, modernizing electricity grids, sustainable district energy, and decarbonization projects”.
The Memorandum of Understanding (MoU) commits Canada and Australia to invest up to $10 billion and remove investment hurdles to make green/transition projects more attractive and “investable” for pension capital.
And most of Canada’s public service pension plans and our CPP are involved.
Even Member of Parliament, Lianne Rood (CPC-Middlesex-London, ON), recently noticed Carney’s strange obsession with our Canadian pensions during Carney’s trade mission announcements:
“Carney has repeatedly mentioned using YOUR pension as an asset for HIS gain.
“Everywhere he goes, Brookfield (his company) benefits, not Canadians.
It’s time to stop pretending and realist this man is playing with fire and your retirement is about to get burnt.”
And Rood is not the only one that is noticing: “The Canadian pension fund CEOs cite government interference as top worry.” On October 31, 2025, The Pension and Investments published, “Top executives at some of Canada’s largest pension plans,” stated their concerns that Carney was planning to strong arm their investors’ pensions, taking away their independence. They publicly said, “They’re worried about government intrusion, days before Prime Minister Mark Carney unveils a budget that’s likely to emphasize investment in infrastructure and the military.”
We can only hope this is the dawn of an awakening in Canada of Carney’s corruption and how he is trying to get his hands on our pensions because more people need to start talking about this.
CARNEY: THE MOST CORRUPT CANADIAN PRIME MINISTER SERIES
PART 1 MOST Corrupt Prime Minister in Canadian History (Part 1). Patterns in Power: Does Mark Carney control the $2 trillion Canadian pensions he is making a part of our trade deals?
PART 2 Stealing Canadian Democracy Part of Mark Carney’s Long Game (Part 2). Patterns in power: “A pragmatic moment” -- how the world works.
PART 3 Brookfield First, Canada Last: Carney – The Most Corrupt Canadian Prime Minister (Part 3). Patterns in power: Carney’s corrupt & conflicted cronyism exposed. Intersection review of Carney’s Canadian trade priorities and Carney’s private capital investments.
ARE CANADA’S PENSIONS FOR SALE?
Chris George who has a great Substack article about what Carney is doing to our pensions says:
"The Carney Liberals have been actively working on how to leverage CPP dollars for their political initiatives. Whether it is inadvertent or intentional is a question of debate, however the PM is constantly referring to the CPP fund as if it were his pool of money to manage. Canadians have caught a glimpse of this with the PM’s globetrotting announcements.”
During our KR News research we discovered, also that Carney’s recent globetrotting sales job on our Canadian pensions is not the only place where our retirement savings are being advertised. It turns out we not only need to keep our eyes on the Canadian slimy politicians on the World Economic Forum’s (WEF) website reporting to Davos globalists, who are committed to the merger of multi-national corporations and our sovereign countries into feudal corporatist entities; the merger of machines and humans; and surveillance-smart cities. The objective is that we “own nothing and be happy,” we “eat ze bugs”, and while WEF aims to “penetrate ze cabinets,” (out of the mouth of disgraced Klaus Schwab and acolytes) and NOW we also need to keep an eye on our pensions being hocked on the WEF website.
Provincial public service pensions such as Alberta’s and Quebec’s are also listed/ advertised on the WEF website.
We also need to point out, that many of the Canadian trade missions, where Carney is choosing to focus are where the CPP Board has satellite offices set up i.e. Mumbai, India (February 27 to March 2, 2026) and Sydney, Australia (March 3 to March 4, 2026).
But I am sure this is all a coincidence. Right?
CARNEY TRIED TO GET HIS HANDS ON OUR CPP IN 2024
Remember when Carney tried to unsuccessfully access our pensions for Brookfield in September 2024? The multi-billion-dollar fund Brookfield proposal discussed in September 2024—a potential $50 billion domestic investment vehicle seeded with federal government money, around $10 billion from Ottawa, and commitments from major Canadian pension funds, targeting ~$36 billion, with Brookfield potentially managing or investing in it—was turned down or failed to gain traction, because it was much too blatant and faced a backlash of valid criticism.
What is uncovered in this article is a much more subtle, long game sort of green scheme that is now in play. And unfortunately, it is deeply embedded in our bureaucracy and our pensions plans.
Consider how the Carney cabinet’s “authoritarian” Bill C-15, An Act to implement certain provisions of the budget tabled in Parliament on November 4, 2025.Division 5 of Part 5, amending the Red Tape Reduction Act, which puts politicians in the Canadian Cabinet essentially above the law, is cronyism at an unprecedented level in Canadian politics:
“…to, among other things, authorize, subject to certain conditions, ministers to grant temporary exemptions from the application of provisions of certain Acts of Parliament and instruments with the aim of facilitating the design, modification or administration of regulatory regimes to encourage innovation, competitiveness or economic growth in the clean technology or financial technology sector.” (page 18)
The new Bill C-15 powers have even been criticized by anti-populist commentator Andrew Coyne who said the Carney has an “authoritarian streak.” Combine these new powers with Carney’s network and influence on the CPP Board (including his common-law brother-in-law, Mark Evans who is a CPP Board of Director), we are heading for a huge potential catastrophe with our Canadian pensions.
What could go wrong?
Carney’s pension “capital” promotions blur lines, risking government interference. It is pressuring the pension funds into “green” or foreign deals that prioritize policy over profits, eroding independence and could expose retirees to very real losses, considering EVs and other green energy has overall been very unpopular for many logical reasons “Canada’s EV sales have cratered 32% this year”.
THE $2 TRILLION MAPLE 8 PENSIONS
The CPP is only one of 8 pension plans that bankers refer to as the Maple 8. The $2 trillion Carney keeps talking about includes the CPP and 7 other provincial public pensions called the Maple 8 Pensions. These include:
Canada Pension Plan Investment Board (CPP Investments or CPPIB): C$780+ billion
Caisse de dépôt et placement du Québec (CDPQ): C$400+ billion
Public Sector Pension Investment Board (PSP Investments or PSP): C$250–300+ billion
Ontario Teachers’ Pension Plan (OTPP): C$250–280+ billion
British Columbia Investment Management Corporation (BCI or BCIIMC): C$200+ billion
Ontario Municipal Employees Retirement System (OMERS): C$120–150+ billion
Alberta Investment Management Corporation (AIMCo): C$150+ billion
Healthcare of Ontario Pension Plan (HOOPP): C$100+ billion (smallest but highly regarded for consistent returns)
Canadian public pensions. including the PSP Investments for federal public service, Ontario Teachers’ Pension Plan, and the CPP have ALREADY invested heavily in Brookfield’s risky and unprofitable green transition funds. They were major investors in Brookfield’s schemes led by Carney, committing billions of dollars alongside global institutions. These commitments are capital commitments (not fully called or deployed yet) into private funds focused on renewables, carbon capture, clean tech, and decarbonizing carbon-intensive businesses.
WHAT IS GOING ON?
Bankers and financial entities seem to be short on capital. All the signs are there.
There is a building money liquidity or cash shortage. According to Bloomberg, “BlackRock Inc. recently curbed withdrawals from one of its biggest private credit funds after client requests for redemptions spiked, the latest sign of investor anxiety about the $1.8 trillion private credit industry.”
“BlackRock Inc. curbed withdrawals from its $26 billion HPS Corporate Lending Fund after client requests for redemptions spiked, capping repurchases at 5%.
“The fund’s management decided to limit the repurchases, which will result in investors getting back about $620 million that the fund held at year-end.
“The move is seen as a sign of investor anxiety about the private credit industry, with many firms bracing for a wave of redemption requests amid concerns about lending practices and exposure to businesses.”
Even in Canada, under the Strong Borders Act, Bill C-2, is going to put cash limits of $10,000 on transactions making it an offence to accept cash of this amount. Bill C-2, which has not yet passed, is being done we are told for “security” reasons, but it is another very interesting coincidence that many banks are individually also putting cash limits on their clients.
In addition to this, many Canadians are noticing it is getting more and more difficult to take your money out of your bank. Online, one X users posted a video showing he was not allowed to take $3,000 cash out of his own account to pay a friend for a car (see video). Another user said that he decided to use cash to pay off his mortgage at another bank and was called an “economic terrorist” by the bank manager (screen capture below).
The liquidity squeeze is becoming increasingly apparent due to poor policy decisions from the banks and global leaders who are no longer trying to help their own countries and citizens have improved lives. This cash shortage makes our Canadian $2 trillion pensions, which Mark Carney is selling around the world on our behalf without asking us, very, very tempting as a capital source for Carney and his globalist comrades, for a multiplicity of reasons.
One of these reasons, to state it very bluntly, is to boost the value of the green stocks that are increasingly unpopular because in a world at war with rising inflation and tariffs. Who can afford these green projects that are straining our economies which Brookfield and the banks are heavily invested in. Under their subsidiaries Brookfield Renewable Partners L.P. and Brookfield Renewable Corporation, Brookfield claims they are the “largest publicly traded platforms for renewable power, with a diversified portfolio including: Hydroelectric power; Wind; Solar (utility-scale and distributed); and carbon storage.
So, from what we can tell, Carney is essentially politicizing and socializing what is supposed to be our “arms-length” pensions, using them to “de-risk” green investments using taxes and pensions through the Canada Growth Fund (CGF), established in 2022, during the height of Covid when Parliament was not meeting. It was created under the Canada Business Corporations Act, with Finance Minister Chrystia Freeland marshalling it through Parliament, as a $15 billion arm’s-length public investment vehicle to attract private capital for clean and green economy projects. This green investing of course is adjacent to the financial and banking Environmental, Social, and Governance (ESG) category that globalist bankers say will save the environment, but critics say is fake and set up to enrich the banker class while it further de-industrializes our western countries and further impoverishes the poor.
What is “de-risking”?
De-risking uses public support/guarantees to lower perceived risk so private capital flows into green projects. The goal is to make these projects more attractive to private investors using pension funds, to try to titillate banks and other investors into investing when they otherwise would avoid investing due to higher uncertainty or perceived financial downsides compared to traditional investments. This is the policy pushed by the WEF, International Energy Agency (IEA), United Nations Conference on Trade and Development (UNCTAD), Organization for Economic Co-operation and Development (OECD), World Bank, and the Climate Policy Initiative.
Believe it or not, dozens of countries actively use de-risking to access their citizens’ pensions for risky and unprofitable green energy investments.
It is an increasing trend.
HOW IT WORKS IN CANADA
The confusing financial network that Trudeau-Carney Liberals have woven with our pensions, and their green schemes includes that the Public Sector Pension Investment Board (PSP Investments) manages the Canada Growth Fund through its wholly owned subsidiary, Canada Growth Fund Investment Management Inc. (CGFIM).
The Liberals even have the Public Sector Pension Investment Board (PSP) which is one of the Maple 8, appointed in Budget 2023 to manage the Canada Growth Fund through a wholly owned subsidiary CGF Investment Management Inc. or CGFIM.
Confused yet?
Apparently, the CPP cancelled its commitment, to transition to net-zero emissions by 2050, June of 2025, “Forcing alignment with rigid milestones could lead to investment decisions that are misaligned with our investment strategy.”
But the green de-risking and “green” “transition” push remains.
While they outwardly state they are cancelling it, it seems like they are embedding the net zero so deeply into our institutions that they are trying to make it essentially too big to fail.
Summary how it works:
Brookfield’s Global Transition Fund (BGTF): Brookfield raised $15 billion in 2022 for its inaugural fund focused on net-zero transition investments (renewables, carbon capture, etc.). Mark Carney co-headed it. Canadian public pension funds invested in it or similar vehicles. Later iterations (e.g., BGTF II) raised even more (~$20–23.5B by 2025).
Canada Growth Fund (CGF): $15 billion government-created (2022–2023) so-called arm’s-length public investment vehicle, managed by PSP Investments, designed to attract private capital into Canadian clean economy projects (e.g., low-carbon hydrogen, carbon capture, renewables, critical minerals). It uses tools like equity investments, offtake agreements, and guarantees to “de-risk” projects and crowd in private money.
$190 Billion Dedicated by Liberal Governments for Green Energy: Between $150–200+ billion has been spent and allocated in Canada for “de-risking” and green energy investments under the Trudeau-Carney Liberal regimes. Part of Canada’s broader climate commitments e.g., net-zero by 2050.
Government Guarantees Triggering 20% Instant Fee / Front-Loading: Private equity funds including Brookfield’s typically charge management fees and carried interest (20% of profits). “Front-loading” via guarantees could accelerate returns/fees.
Carney’s Personal Payout of $750M–$1.2B: This is a potential payout amount for Mark Carney. It is not for certain, but many believe it could happen due to “carried interest entitlements,” that Justin Beber, Brookfield representative, explained at a House of Commons committee.
The taxpayer and pension funds help indirectly boost Brookfield renewable stock values, especially when they are involved in the Canada Growth Fund CGF). such as Brookfield’s investment of $300 million from its Global Transition Fund to Entropy that is a Calgary based carbon capture and storage technology developer, that got Brookfield into the carbon credit selling scheme, this company is receiving another $200 million from the Canada Growth Fund.
But the bigger stock boost is the “de-risking” of green energy investment, keeping the net-zero dream alive, embedding it into our financial future, using our retirement savings. Doing this is necessary from the perspective of the Liberals, Carney and Brookfield, because there’s no profit on green energy in the short term. To make a profit on green energy, investors will have to wait more than a decade.
That’s why they need our taxes and our pensions for these green schemes they have invested so much money and energy into within their banks and financial entities like Brookfield.
So, is the REAL reason why Carney become PM to get his hands on our Canadian pensions?
These firms manage your pensions. They steward your savings. But they use that power to push harmful political agendas that consistently underperform financially.
Why? Because they can mis-sell the fantasy of “saving the planet” — and charge you a premium.
-Desiree Fixler
Carney still has strong ties to Brookfield because he has not sold his holdings, they are held in trust, but he will be getting future payouts called “carried interest entitlements,” according to Brookfield representative, Justin Beber, at a Parliamentary Committee on November 24, 2025. According to some analysts this carried interest option will make Carney filthy rich, especially if he continues to grow Brookfield’s green assets using Canadian policy, trade deals, and our pensions.
But what if the green energy investments never make a profit for these investment firms, the green grifter companies, and our pensions? What then?
WATCH VIDEO TO LEARN MORE ABOUT HOW THE GREEN SCHEME WORKS
PURE CORRUPTION: MOST CORRUPT PRIME MINISTER IN CANADA’S HISTORY
In Canada we have never seen conflicts of interest and corruption at this multi-national globalist level before in Canada.
So, was Carney influencing Canadian politicians all along to make this big green play today? This would make Trudeau, Freeland and all Canadians a pawn in his Brookfield enrichment strategy.
Sure, the Liberals were caught passing brown bags of cash occasionally, in the old days, but this level of globalist financial corruption with Carney conflicts for his primary company, Brookfield, and many other conflicts the vast majority that are held in the United States, is unprecedented in Canadian history.
Many “elbows up” boomers see him as a businessman and assume that Carney is a good manager. This is thanks to a mostly uncritical legacy media and the opposition that is not exposing this corruption loudly enough. This is what the polling seems to show.
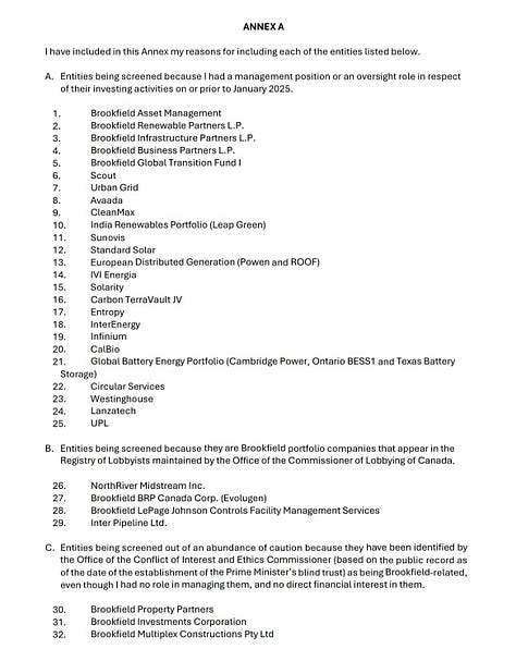
July 10, 2025 the Parliamentary Ethics Commissioner released Carney’s official list of conflicts of interest in Annex A, which is supposed to be a preventative measure under section 29 of the Conflict-of-Interest Act that shows Carney having 103 conflicts with his current financial holdings — many of which are with Brookfield and Brookfield adjacent. See the list below.



On the same day, in addition to this, the ethics commissioners released the full list of divested holdings that appears in the public appendix which is a 16-page document detailing hundreds of companies listing 614 companies that includes many major U.S. firms, including Brookfield that moved its headquarters to the USA, just before Carney decided to run for the Liberal leadership.
The two lists are handled differently, believe it or not.
The ethics commissioner has determined that the list of 600 are blinded/outsourced (no active role possible), while the list of 100 get the stricter screen because of Carney’s personal history with them.
Carney’s finances are very complex.
The smaller list: These are divested into a true blind trust (established pursuant to section 27 of the Act), while the larger list (600+ securities), these are held in a third-party managed investment account, where Carney does not control or direct the selection of investments.
Such is the nature of the “blind trust” except Carney when he is doing so-called trade deals around the world rather than appearing in Parliament to debate mundane things like censorship and hate laws he is pushing through — Carney already knows the stocks he is invested in, as pointed out by Duff Conacher and Democracy Watch. The blind trust is “not blind at all” because Carney “knows what stocks he put in it,” chose his trustee, gave instructions like “don’t sell anything,” and can receive regular updates. He describes the ethics screen as a “loophole-filled, unethical smokescreen” allowing participation in most decisions affecting his investments including Brookfield and 655+ companies.
Democracy Watch:
[The] “screen allows him to participate in, and hides his participation in, almost all decisions that affect his investments in Brookfield and 655+ other companies, and his blind trust isn’t actually blind.
“Carney has as many financial conflicts of interest as Trump – only effective way to resolve the conflicts is for Carney to sell his investments”
And it gets worse.
The so-called blind trust is overseen by Carney’s Chief of Staff Marc-André Blanchard, and Clerk of the Privy Council Michael Sabia administer the separate conflict of interest screen (for Brookfield/Stripe-related entities). In Canada this qualifies as a “blind trust.”
Almost no coverage has been given to these corporate conflicts other than Moose on the Loose, an independent YouTuber has put together a chart on Carney’s Brookfield conflicts and how they relate to his trade missions as well as recent coverage on X by Melanie in Saskatchewan who has published 2 articles about this corruption here and here.
WATCH for more on this in article 2.
WHEN TRUMP AND US CONGRESS TOLD CARNEY NO
Using influence and manipulation related to conflicts of interest for green schemes that enrich Brookfield and Carney himself is nothing new. It is an established pattern of behavior in the not so recent past until President Donald Trump, and the United States Congress said no.
Mark Carney started Glasgow Financial Alliance for Net Zero (GFANZ) in the United Kingdom (UK) in 2019, where he accumulated access to a large amount of capital
At launch April 2021 it started with ~160 firms managing over $70 trillion.
By COP26/November 2021 the alliance grew to over 450 firms more than $130 trillion in assets.
Around the same time as this big financial capital push, Carney was appointed as the United Nations (UN) Special Envoy on Climate Action and Finance in December 2019, which Carney leveraged to boost and promote his financial green schemes.
The GFANZ alliance since its heyday in 2021, however, has now been seriously reduced, practically collapsed because the Trump administration and Congress put an end to the GFANZ “cartel” like behavior.
What was the corrupt behavior they exposed?
“When ExxonMobil refused to surrender to its ‘net-zero’ demands, the climate cartel colluded to ‘vote no’ against its board of directors to ‘show that engagement can have teeth—and that investors are willing to escalate pressure against companies that refuse to act.’”
In June 2024, when the Republican-dominated judiciary committee in Washington released a report titled, “Climate Control: Exposing The De-carbonization Collusion in Environmental, Social, and Governance (ESG) Investing.”
The Republican attorneys started to subpoena banks in the US over anti competition regulations, J.P. Morgan, Chase, Bank of America, Citigroup, wells, Fargo, Goldman, Sachs and so forth, and all hell broke loose. Carney was forced to appear at this committee meeting.
Reuters reported June 7, 2024 “Exclusive: US House committee grills Carney, Schapiro in push against climate coalitions”:
“The House of Representatives’ judiciary committee, which is controlled by Republicans led by its chairman Jim Jordan, set up the interviews earlier this year out of concern that GFANZ ‘appears to facilitate collusion that may violate U.S. antitrust law,’ according to letters to GFANZ staff reviewed by Reuters and people familiar with the matter.”
The committee report states:
“The climate cartel has declared war on the American way of life. The climate cartel is waging a “Global World War” for net zero against disfavored American companies, including those in the fossil fuel, aviation and farming industries that allow Americans to drive, fly and eat.”
The two recent US Judiciary Committee reports targeting Mark Carney’s net zero cartel:

After the judiciary committee and the Trump administration pulled the rug out on Carney’s and his fellow globalists’ net-zero reset plan by exposing their cartel behavior, the US banks and the Canadian banks began to pull out of the net-zero scheme including:
The Net-Zero Banking Alliance (NZBA) voted to cease operations immediately in October 2025 after mass exits (e.g., major U.S. and Canadian banks) due to political pressures, antitrust concerns, and voluntary nature limitations.
The Net Zero Asset Managers initiative (NZAM) suspended activities in early 2025 following withdrawals by giants like BlackRock.
Other sub-groups, like the Net Zero Financial Service Providers Alliance, shut down in January 2026.
So, the Republicans and Trump said no to Carney on GFANZ. This is likely the biggest reason we are stuck with Carney as PM today. The timing was an incredible coincidence:
Jan. 16, 2025: Mark Carney announces his Liberal leadership bid
Jan. 18, 2025: Canadian banks pull out of Carney’s net zero alliance (“4 of Canada’s biggest banks [BMO, National Bank, TD, CIBC] pull out of Carney’s Net Zero Banking Alliance” | CBC)
Jan. 20, 2025: Trump’s inauguration
Similar to Blackrock and the Canadian banks, Carney and Brookfield are also short capital due to the GFANZ dump by the Trump administration. So, to access this missing capital, Carney immediately set out to capture the Liberal leadership and become prime minister, moving to replace the extremely unpopular Justin Trudeau, and pushing Chrystia Freeland aside at the same time.
Ironically, one of the reasons Trudeau became so unpopular was due to the Emergencies Act and the freezing of bank accounts during the 2022 Freedom Convoy. But it was Carney that advised both Trudeau and Freeland to enact the Emergencies Act and crack down hard on the truckers who were resisting mandatory vaccination in order to truck their loads to the United States. In a Globe and Mail op-ed Carney described the Freedom Convoy protests in Ottawa as “sedition,” called for enforcing the law, and urged “following the money” to choke off funding for what he termed an occupation and insurrection.
Carney said;
“…anyone sending money to the convoy should be in no doubt: You are funding sedition. Foreign funders of an insurrection interfered in our domestic affairs from the start. Canadian authorities should take every step within the law to identify and thoroughly punish them. The involvement of foreign governments and any officials connected to them should be identified, exposed and addressed.”
Carney’s disinformation about foreign interference was in fact debunked by the Canadian courts in a federal case and an appeal, where they found the Emergencies Act implementation illegal and unconstitutional. Carney was even reportedly part of the discussion about bringing out a tank to combat Canada’s working class in Ottawa’s streets according to multiple Ministers (see screen capture below).
Now, Prime Minister, Carney has all the power, authority, and access to all the capital he wants including the $72 trillion in Canadian pensions.
So Carney is appealing to the Supreme Court of Canada the federal court of appeal decision that the Emergencies Act was unconstitutional, but at least the evil GFANZ, net-zero cartel that is impoverishing the people of the western world, has been killed off by the Americans.
Not so fast.
According to Desiree Fixler, a veteran investment banker and former senior executive in sustainable finance, best known as a prominent whistleblower who exposed alleged greenwashing practices at Deutsche Bank says we are not done with GFANZ. She says the international bankers are bringing it back again with a new website called “Net Zero Asset Managers Initiative Relaunches with Global Investor Backing and Updated Commitment – The Net Zero Asset Managers initiative” (these globalist bankers, similar to zombies that cannot be killed off entirely, may be determined but nobody says bankers are good at coming up with short catchy titles).
Shocking: Wall Street is trying to resurrect the Net Zero Alliance that was shut down last year.
Among them: UBS, Fidelity Investments, Brookfield, Amundi, and State Street.
This is Mark Carney’s climate brainchild and may be the largest coordinated capital misallocation of the modern era.
I know — I was a gung-ho founding member in 2020. It took me time to see it, but when I did, I spoke out.
It wasn’t about nature or the environment. It was about control of capital at extortionate fees.
These firms manage your pensions. They steward your savings. But they use that power to push harmful political agendas that consistently underperform financially.
Why? Because they can mis-sell the fantasy of “saving the planet” — and charge you a premium.
Know who they are. Ask where your money is going.
And think twice before funding the very people undermining growth, energy security, and democratic accountability.
FAMILIAL & OTHER CONNECTIONS MANIPULATED BY CARNEY - TRUDEAU LIBERALS
Some say, the pensions are set up at “arms-length,” and they are immune to this sort of manipulation. Or “our pensions are safe”. Even some so-called independent Canadian YouTubers have made this claim, defending the government, with little to no research.
Robin Hillier, a realtor, investor and citizen journalist from Calgary has a popular X account modernagentsinc. His video and research inspired our own deep dive research into what Carney is doing with our pensions on behalf of the “environment,” “green,” “transition” and other useful idiot catch phrases.
Hillier explains:
“For those of you that think Mark Carney can’t touch your pension because it’s managed by a [arms-length] CCIB, which is a private board, you’re right, but you’re also wrong.”
As we have shown historically, Carny was extremely good at “colluding” with his comrades in what was termed “cartel”-like behavior under GFANZ, by aggressively influencing Boards and exploiting his UN role.
In Canada, to access the pensions, Carney is playing the long game also using his familial connections.
For example, Tania Fox, allegedly divorced from Lord Rotherwick, is Diana Fox Carney’s sister. Tania is reportedly “intimate” with Mark Evans (Daily Mail) since 2018. And they may even be married according to social media rumors, although there is no record of Tania’s divorce or marriage.
Evans, a tech investor and financier, and Tania Fox’s “intimate” partner, was appointed to Canada’s CPP Board of Directors by a Liberal Minister in 2019. Evans is involved in making decisions on the CPP portion of the $2 trillion Maple Pension “green de-risking” strategy [scam] Carney is selling to the UAE, India, Australia etc., which will enrich Carney’s Brookfield portfolio held in his “blind trust”.



So, was Carney influencing Canadian politicians all along to make this big green play today? This would make Trudeau, Freeland and all Canadians a pawn in his Brookfield enrichment strategy. Carney’s familial and other connections seem to indicate this could be the case.
Articles about Mark Carney advising the Trudeau Government began to surface in 2020. Prior to 2020, interactions existed such as a 2018 meeting between Trudeau and Carney at the G20. But the Carney influence has an even longer reach than this as we will show you.
Later in the fall of 2024, Trudeau announced that Carney would serve in an official role for the Liberal Party of Canada, as chair of the Leader’s Task Force on Economic Growth. Many say this was to avoid the Parliamentary and Government of Canada ethics screens if he were to work directly for the government.
Another interesting fact about Carney’s sister-in-law, Tania Fox, she was very good friends with Ghislaine Maxwell. Maxwell of course, is serving a 20-year jail sentence, convicted for recruiting, grooming minor girls in a sex-trafficking operation run by Jeffrey Epstein, who is another well-known financier.
Maxwell and Mark and Diana Carney were all seen palling around in the United Kingdom in 2013, while Carney was the governor of the Bank of England.
Photos came to light in January 2025, during the Liberal leadership race. The photos are from 2013 at an event hosted at Cornbury Park, the estate of Carney’s sister-in-law Lady Tania Fox Rotherwick. British media called this a “Wilderness Festival” which was described both as “a U.K. music and arts festival that brands itself as a destination for “wholesome hedonism” as well as “Poshstock, catering to wealthy attendees with luxury amenities.”
Many fact checks by CBC, Canada’s state media, and other corporate media that receives massive subsidies from us the taxpayer, focus on some AI memes of Carney and Maxwell on X, but these pictures that were in the The Daily Mail — and the relationship between these families is also real.
These pictures were taken five years after Jeffrey Epstein was convicted in Florida in 2008 for two felony charges: solicitation of prostitution and procuring a person under the age of 18 for prostitution (involving a minor).
Maxwell went to the same high school as Carney’s sister-in-law, Tania Fox, and both Mark and Diana were obviously social and looked very comfortable and even friendly with Maxwell at this event, even though Carney’s campaign staff claim they are not friends.
We do know that Tania and Ghislaine very much stayed in touch after they finished school. And stayed in touch after the Epstein conviction shown by Maxwell attending the family farm event.
And, yes, Tania Fox Rotherwick, Mark Carney’s sister-in-law, is in the Epstein Files. And it is not just innocuous news stories that the CBC can fob off with ridiculous fact checks, that say there are no connections
In 2001, and many other years, according to the Department of Justice, Carney’s sister-in-law, Tania and Ghislaine exchanged cordial “kisses” in their Christmas emails:
“And a very Happy Christmas to you too. I love you and miss you. Kisses. Gx”
There are two other more unsettling conversations we found between Maxwell and Rotherwick (Fox). One was between Orc Software (listed as Tania Fox Rotherwick’s company in Epstein’s black book) and Maxwell’s staff, where Fox requests that her emails in the future be sent to another email address. What is disturbing is that it is almost completely blacked out with redactions. Being that the Epstein legislation stipulates that only victims are supposed to be blacked out, this is very disconcerting.


Another disturbing email we found, considering recent world events, where a middle eastern regional conflict is raging that is affecting the global economy that could break into a world war is THIS little story from Maxwell to Lord Rotherwick email account:
“It is the year 2032, and a father and his son walk the streets of lower Manhattan. Approaching the site where the WTC used to be in the end of the 20th century, the father sighs and comments, "to think that right here usedto be the Twin Towers...
" The son, not understanding, asks his father: "What are the Twin Towers?"
The father smiles and looks at the son, and explains,
"The Twin Towers were two huge buildings that used to be here until 2001, when the Arabs destroyed them."
The son looks up to his father, and asks,
"And what are the Arabs?"
Also interesting — did you know that Mark Carney’s own brother is the COO for the Prince and Princess of Wales?
Yes, that’s right, Seán Carney wields royal privilege looking after the Windsors’ and his own wealth in the UK and Mark looks after Brookfield’s interests — I mean Canada’s interests.
The other familial relationship that is very noteworthy is Carney’s godson’s mother who was the minister of finance at the time, who set up all the de-risking funds and mechanisms for Carney and Brookfield and friends. And of course, this would be Chrystia Freeland, who was pushed out by Carney. Freeland is now the economic advisor to the corrupt Zelensky regime in Ukraine, that may or may not be on the way out.
Under Trudeau, it was Freeland who created the $15 billion Canadian Growth Fund which is now being used to de-risk green energy investment and unlock our Canadian pensions to globalist bankers’ unprofitable “green” investments.


Hillier thinks this Carney familial relationship is key to the corruption:
“If you understood how this worked and the obfuscation that it creates, you would understand how Mark Carney was able to get the PSP [Public Service Pensions] and Ontario teachers’ pension funds into his Brookfield growth transition fund because he was the godfather to the child of the very person that selects that board.”
Hillier says his research shows, “Norway lost twice $113 billion and $164 billion while implementing de-risking transition investing from what is the world’s largest sovereign wealth fund.” He goes onto explain the insidiousness and plain sneakiness of what is happening in Canada, which we outlined in the previous section, “They also created a separate board to manage the Canadian Growth Fund, which is $15 billion for green energy transition. So, what happens is, if an investment is too volatile, there is a 15 to 20, year contract attached to it with a guarantee, and now your pension can be exposed to it, because your own federal tax revenue guarantees the return on your pension, which is, frankly, insane.”
He explains how this influence from Carney’s relationships that have infiltrated our pension plans and our government is what is bringing this all together for Brookfield and friends, “The transition fund is incapable of collecting if it is not backed by long term federal contracts that pay federal revenue, the $150 billions of federal green energy transition policy that Trudeau put in place under Mark’s advisory is right now being leveraged to do just that.”
WATCH Robin Hillier Video Short
Other pension connections in Carney’s pocket include his own chief of staff, Marc-André Blanchard, who now oversees Carney’s “blind trust.” Before being appointed Carney’s chief of staff in in June 2025, Blanchard was the executive vice-president and also global head of sustainability at the Quebec pension plan — one of Canada’s Maple 8 pension funds. He held a senior operational leadership role directly involved in pension fund management.
There are many other examples of pension executives who have gone to work for Brookfield and vice versa.
“Carney embodies the very revolving door between private profit and public authority that created Canada’s fiscal malaise.”
It is a revolving door of financiers like Epstein or Carney controlling the pensions and retirement savings of Canadians.
We are told that the CPP is among the world’s top-performing public pension managers and that it is ranked 2nd globally for 10-year returns at 9.19% in recent benchmarks. However, when you look deeper, there are areas of concern in the fine print.
According to the CPP pension watchdog, the Office of the Chief Actuary Actuarial and Spurrell & Associates CPA, Business Consultants’ analysis, the report published December 14, 2022, footnote14 states:
As at 31 December 2021, under the closed group approach, the actuarial obligations of the base Plan are equal to $1,686.1 billion, the assets are $543.7 billion, and the assets shortfall is equal to $1,142.4 billion.
Spurrel and Associates explains that if you use the open approach this means that as long as more people keep getting added to the CPP [i.e. immigrants] then there is no problem. But when you flip the demographics like when there are more baby boomers than new people paying in and “if you calculated it on a closed group approach, what that means is if you calculated the net present value of the obligations that you have today and measured them against the assets you have today, the actuarial obligations of the base plan — this is the office of financial superintendent saying this… the asset shortfall is $1.14 trillion.”
They are using circle financing, it is like, “a snake eating its tail, and at the end of it there’s a net loss. We don’t own the product. We don’t own the profits,” says Hillier.
They are hollowing out our economy and taking our retirement pensions like raiders of old. Doing it right in front of us. There’s no pile of cash at the end of this rainbow.
Except for Carney and his banker buddies. Of course.
If we turn aside and pretend this is not happening, our pensions could be gone, in the blink of an eye, if the green investments go bust.
As Hillier concludes when “Mark Carney sends a billion dollars of pension to India, who is one of our sources of election interference, you should be worried.”
If you are counting on your CPP, or you are enrolled in a provincial public pension, and you are concerned about these pensions, start asking questions.
JOIN THE KRAYDEN’S RIGHT RESISTANCE
Email story tips and research to tips@kraydensrightnews.com
We freely provide all our source links within this article. Do your own research. Contact your Members of Parliament and your MLAs/ MPPs with concerns about Mark Carney’s conflicts of interest and our pensions being treated as “capital” which are putting Canada’s economy in jeopardy.
What do you think? Let us know in the comments and pass this article on so more can learn about Carney’s corruption.
SUMMARY
MOST Corrupt Prime Minister in Canadian History
Carney’s Trade Missions Align with Brookfield: Foreign visits (UAE, India, Australia) often coincide with Brookfield executives’ activities or deals, raising favoritism concerns.
ARE $2 TRILLION CANADIAN PENSIONS BEING USED IN TRADE DEALS?
Carney Pitches $2 Trillion Pensions Overseas: On trade trips, he promotes Maple 8 pension funds’ ~$2 trillion as investment capital for host countries—a first for Canadian PMs.
ARE CANADA’S PENSIONS FOR SALE?
Pensions Invested in Brookfield Green Funds: Major funds (OTPP, PSP, IMCO) committed billions to Brookfield’s Global Transition Funds, viewed by critics as indirect support for its green assets.
PURE CORRUPTION: MOST CORRUPT PRIME MINISTER IN CANADA’S HISTORY
Blind Trust & Conflicts Draw Criticism: Carney’s blind trust is called ineffective (Democracy Watch), with ~103 screened (Brookfield-linked) companies plus hundreds more raising conflict risks.
WHAT IS GOING ON?
Liquidity Crunch Makes Pensions Attractive: Global private credit stress and cash limits make $2 trillion pensions tempting targets, risking political interference in independent funds.
De-Risking Tools Risk Pension Performance: Canada Growth Fund de-risks green projects to draw pension money, but critics say it exposes retirees to underperformance in sectors like EVs.
WHEN TRUMP AND US CONGRESS TOLD CARNEY NO
GFANZ Collapse Shifts Focus to Canada: U.S. antitrust pressure ended Carney’s GFANZ net-zero alliance, prompting speculation he became PM to tap domestic pensions for similar aims.
FAMILIAL & OTHER CONNECTIONS MANIPULATED BY CARNEY - TRUDEAU LIBERALS
Family & Staff Ties to Pensions Spark Concerns: Brother-in-law on CPPIB board; chief of staff ex-CDPQ sustainability head—both Maple 8 funds—fueling influence worries on green decisions.
WATCH Why Won’t Carney Leave our Pensions Alone? | Stand on Guard
MORE MARK CARNEY RESEARCH & ARTICLES
NEW Stand on Guard Merch with a Message Now available in our Stand on Guard Store. These products are available & ready to ship to Canada and the United States.
Triger Stickers (5 per page)
Hoodies
Tees
Caps
Coffee Mugs
Let us know what you think? We are new to this so thank you for your patience!
JOIN US FOR CONSPIRACY WEDNESDAY: SUPER CHATS & RUMBLE RANTS
Show your support for Independent Journalism
Trigger Stickers



Tees


George Orwell Collection



Tribute to the Universal Ostrich Farm


Trigger Stickers
Coffee Mugs





George Orwell Collection
Hats
Hoodies
I am Canadian Collection
Think Collection
Krayden’s Right News in Nobody’s Pocket Collection
Alberta Proud
CHECK OUT OUR KR NEWS INVESTIGATIVE SERIES ON MARK CARNEY
Mark Carney’s SECRET SCARY Move AGAINST Canada EXPOSED by Freedom Banker | STAND ON GUARD RECEIPTS
Rich Banker Man Mark Carney Caught by CBC & CTV Dodging Taxes
Liberal MP Encouraged the Abduction of Conservative Rival for Chinese Bounty
GFANZ, Mark Carney’s Climate Cabal That Won’t Leave Us Alone
Audiobook for paid Substack subscribers. Perfect Present for Friends & Family.
1984 The Audio Book: Complete Chapters with Commentary: David Krayden Reads George Orwell’s 1984 Podcast
Join David Krayden for the Stand on Guard Podcast.
David Krayden does daily livestream broadcasts at 10:00 AM ET to bring you the latest news from Ottawa and around the world. Everything you won’t hear on the mainstream media.
JOIN THE KRAYDEN’S RIGHT RESISTANCE
Freedom of the Press is NOT cheap. If you believe in independent media and the stories I am covering, you can support me in the following voluntary paid subscriber and membership options, starting at around $5 on the following socials:
You can now find Stand on Guard with David Krayden now on most podcasts:
Send tips and comments to David Krayden on X DM: @davidkrayden




























































Canada West here. Fully agreed. And it’s not just Carney. It’s the whole Liberal party. They are just a bunch of gangsters.
Very comprehensive, it's very difficult to follow through all of the obfuscation and deception.
The only part of this that's news to me is Carney’s brother, can't believe there are more Carney Trolls out there but it makes sense that his brother has his nose up the arse of the British Monarchy.
They are after all the biggest problem and ultimately the scum pulling all of the strings.